Задание 1162 - ГДЗ Математика 6 класс. Виленкин, Жохов, Чесноков. Учебник. Страница 199

Старая и новая редакции

Вернуться к содержанию учебника

1159 1160 1161 1162 1163 1164 1165

Вопрос

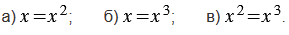
№1162 учебника 2011-2017 (стр. 199):

В каких случаях может быть верно равенство:

Подсказка

№1162 учебника 2011-2017 (стр. 199):

Вспомните:

  1. Степень числа.
  2. Умножение рациональных чисел.
  3. Модуль числа.

Ответ

№1162 учебника 2011-2017 (стр. 199):


Вернуться к содержанию учебника