Задание 1158 - ГДЗ Математика 6 класс. Виленкин, Жохов, Чесноков. Учебник. Страница 198

Старая и новая редакции

Вернуться к содержанию учебника

1155 1156 1157 1158 1159 1160 1161

Вопрос

№1158 учебника 2011-2017 (стр. 198):

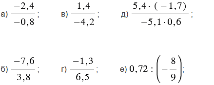
Найдите значение выражения:

Подсказка

Ответ

№1158 учебника 2011-2017 (стр. 198):


Вернуться к содержанию учебника