Задание 3.73 - ГДЗ Математика 6 класс. Виленкин, Жохов. Учебник часть 1. Страница 132

Старая и новая редакции

Вернуться к содержанию учебника

3.70 3.71 3.72 3.73 3.74 3.75 3.76

Вопрос

№3.73 учебника 2023-2024 (стр. 132):

№3.73 учебника 2021-2022 (стр. 132):

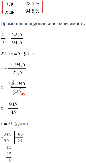
За 5 дней было собрано 22,5% всей пшеницы. Сколько дней потребуется, чтобы собрать 94,5% всей пшеницы?

Подсказка

№3.73 учебника 2023-2024 (стр. 132):

№3.73 учебника 2021-2022 (стр. 132):

Вспомните:

  1. Что называют прямой пропорциональной зависимостью.
  2. Что называют пропорцией.
  3. Что называют отношением.
  4. Проценты.
  5. Что называют уравнением.
  6. Что называют дробным выражением.
  7. Основное свойство дроби (сокращение дробей).

Ответ

№3.73 учебника 2023-2024 (стр. 132):

№3.73 учебника 2021-2022 (стр. 132):


Вернуться к содержанию учебника