Задание 101 - ГДЗ Математика 6 класс. Виленкин, Жохов. Учебник часть 2. Страница 28

Старая и новая редакции

Вернуться к содержанию учебника

98 99 100 101 102 103 104

Вопрос

№101 учебника 2018-2020 (стр. 28):

Определите, у какого из двух чисел модуль больше:

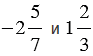
а) 3,815 и 3,823;             в) ;

б) и 0,28;                         г) .

Подсказка

Ответ

№101 учебника 2018-2020 (стр. 28):


Вернуться к содержанию учебника