Номер 733 - ГДЗ Алгебра 7 класс. Мерзляк, Полонский. Учебник. Страница 126

Вернуться к содержанию учебника

Страница 126

730 731 732 733 734 735 736

Вопрос

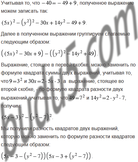
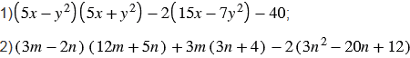
Представьте в виде произведения выражение:

Подсказка

Ответ


Вернуться к содержанию учебника