Номер 562 - ГДЗ Алгебра 7 класс. Мерзляк, Полонский. Учебник. Страница 101

Вернуться к содержанию учебника

Страница 101

559 560 561 562 563 564 565

Вопрос

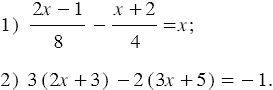
Решите уравнение:

Подсказка

Ответ


Вернуться к содержанию учебника