Задание 1031 - ГДЗ Математика 6 класс. Виленкин, Жохов, Чесноков. Учебник. Страница 175

Старая и новая редакции

Вернуться к содержанию учебника

1028 1029 1030 1031 1032 1033 1034

Вопрос

№1031 учебника 2011-2017 (стр. 175):

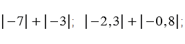
Найдите сумму:

         

Подсказка

№1031 учебника 2011-2017 (стр. 175):

Вспомните:

  1. Модуль числа.
  2. Сложение чисел.
  3. Сложение десятичных дробей.
  4. Сложение обыкновенных дробей с одинаковыми знаменателями.
  5. Сложение обыкновенных дробей с разными знаменателями.
  6. Приведение дробей к общему знаменателю.

Ответ

№1031 учебника 2011-2017 (стр. 175):


Вернуться к содержанию учебника