Вернуться к содержанию учебника
Страница 199
776 777 778 779 780 781 782 783 784 785 786
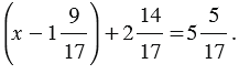
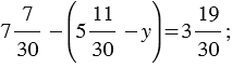
Решите уравнение:
1) 2)
Вспомните: