Страница 109 - ГДЗ Математика 3 класс. Моро, Бантова. Учебник часть 1

Старая и новая редакции

Вернуться к содержанию учебника

106 107 108 109 110 111

Вопрос

Выберите год учебника

Стр. 109 учебника 2011-2022:

1. Какие числа пропущены?

20 + + 69 = 100 ( + 92) : 1 = 98
70 - 35 -  = 25 (36 + 14) • 
7 •  • 2 : 4 = 7 8 • 6 :  = 1

Стр. 109 учебника 2023-2024:

1. Вычисли.

7 • 8 42 : 6
9 • 6 28 : 7
63 : 9 36 : 4
72 : 8 56 : 8

Подсказка

Стр. 109 учебника 2011-2022:

Вспомни порядок  выполнения действий при нахождении значения числовых выражений со скобками и без них.

Если число разделить на 1, получится то же самое число.

Если число разделить само на себя, то получится 1.

Если число умножить на 0, получится 0.


Стр. 109 учебника 2023-2024:

Повтори случаи табличного умножения и деления.

Ответ

Стр. 109 учебника 2011-2022:

Вариант ответа #1:

Решение


Пояснение

20 + 11 + 69 = 100

20 + 69 = 89

100 - 89 = 11

Пропущено число 11.

(6 + 92) : 1 =

98 : 1 = 98

70 - 35 - 10 =

70 - 35 = 35

35 - 25 = 10

Пропущено число 10.

(36 + 14) • 0 = 0

не считаю, потому

что умножить на 0

7 • 2 • 2 : 4 = 7

14 • 2 : 4 =

28 : 4 = 7

8 • 6 : 48 =

48 : 48 = 1

Вариант ответа #2:

20 + 11 + 69 = 100 (6 + 92) : 1 = 98
70 - 35 - 10 = 25 (36 + 14) • 0 = 0
7 • 2 • 2 : 4 = 7 8 • 6 : 48 = 1

 Пояснение

20 + 11 + 69 =

31 + 69 = 100

(6 + 92) : 1 =

98 : 1 = 98

70 - 35 - 10 =

35 - 10 = 25

(36 + 14) • 0 = 0

не считаю, потому

что умножить на 0

7 • 2 • 2 : 4 =

14 • 2 : 4 =

28 : 4 = 7

8 • 6 : 48 =

48 : 48 = 1


Стр. 109 учебника 2023-2024:

Решение

7 • 8 = 56 42 : 6 = 7
9 • 6 = 54 28 : 7 = 4
63 : 9 = 7 36 : 4 = 9
72 : 8 = 9 56 : 8 = 7

Пояснение

Операция деления на число обратна операции умножения на это же число.

Вопрос

Выберите год учебника

Стр. 109 учебника 2011-2022:

2. В свободных клетках квадрата 1 размести ещё числа 3, 4, 5, 6, 9 так, чтобы получить магический квадрат.


Стр. 109 учебника 2023-2024:

2. Найди значения выражений.

35 - 40 : 8 9 + 81 : 9
76 - (26 + 14) 28 - (18 + 9) : 3

Подсказка

Стр. 109 учебника 2011-2022:

Сложи числа в каждом квадрате по строкам, по столбцам, из угла в угол. Если суммы равны, то такой квадрат называется магическим.


Стр. 109 учебника 2023-2024:

Вспомни порядок  выполнения действий при нахождении значения числовых выражений со скобками и без них.

Ответ

Стр. 109 учебника 2011-2022:

Решение


Пояснение

Все суммы равны 21.

По строкам:

10 + 3 + 8 =13 + 8 = 21

5 + 7 + 9 = 12 + 9 = 21

6 + 11 + 4 = 17 + 4 = 21

По столбцам:

10 + 5 + 6 = 15 + 6 = 21

3 + 7 + 11 = 10 + 11 = 21

8 + 9 + 4 = 17 + 4 = 21

Из угла в угол:

10 + 7 + 4 = 17 + 4 = 21

6 + 7 + 8 = 13 + 8 = 21


Стр. 109 учебника 2023-2024:

Вариант ответа #1:

Вариант ответа #2:

Решение

35 - 40 : 8 = 30 9 + 81 : 9 = 18
76 - (26 + 14) = 36 28 - (18 + 9) : 3 = 19

Пояснение

35 - 40 : 8 =

35 - 5 = 30

9 + 81 : 9 =

9 + 9 = 18

76 - (26 + 14) =

76 - 40 = 36

28 - (18 + 9) : 3 =

28 - 27 : 3 =

28 - 9 = 19

Вопрос

Выберите год учебника

Стр. 109 учебника 2011-2022:

3. Оставляя на местах числа 13, 15 и 5 в квадрате 2, расставь в его пустые клетки числа 3, 7, 9, 11, 17, 19 так, чтобы получить магический квадрат.


Стр. 109 учебника 2023-2024:

3. Вычисли.

49 + 38                                 

92 - 57

Подсказка

Стр. 109 учебника 2011-2022:

Сложи числа в каждом квадрате по строкам, по столбцам, из угла в угол. Если суммы равны, то такой квадрат называется магическим.


Стр. 109 учебника 2023-2024:

Повтори письменные приемы сложения в столбик и вычитания в столбик.

Ответ

Стр. 109 учебника 2011-2022:

Решение


Пояснение

Все суммы равны 33.

По строкам:

17 + 7 + 9 = 24 + 9 = 33

3 + 11 + 19 = 14 + 19 = 33

13 + 15 + 5 = 28 + 5 = 33

По столбцам:

17 + 3 + 13 = 20 + 13 = 33

7 + 11 + 15 = 18 + 15 = 33

9 + 19 + 5 = 28 + 5 = 33

Из угла в угол:

17 + 11 + 5 = 28 + 5 = 33

13 + 11 + 9 = 24 + 9 = 33


Стр. 109 учебника 2023-2024:

Вариант ответа #1:

Вариант ответа #2:

+ 4 9
3 8
  8 7
   
- 9 2
5 7
  3 5

Вопрос

Выберите год учебника

Стр. 109 учебника 2011-2022:

4. Используя знаки действий и, если надо, скобки, запи­ши число 10 четырьмя тройками.


Стр. 109 учебника 2023-2024:

4Для украшения ёлки приготовили 4 коробки с ёлочными игрушками, по 6 игрушек в каждой коробке. Из них на ёлку повесили 20 игрушек. Сколько игрушек осталось в коробках?

Подсказка

Стр. 109 учебника 2011-2022:

Повтори случаи табличного умножения на 3.


Стр. 109 учебника 2023-2024:

Вспомни, как оформить краткую запись задачи.

Ответ

Стр. 109 учебника 2011-2022:

Вариант ответа #1:

Решение


Пояснение

1) 3 : 3 + 3 • 3 = 1 + 9 = 10

2) 3 • 3 + 3 : 3 = 9 + 1 = 10

3) (33 - 3) : 3 = 30 : 3 = 10

Вариант ответа #2:

Решение

1) 3 : 3 + 3 • 3 = 10

2) 3 • 3 + 3 : 3 = 10

3) (33 - 3) : 3 = 10


Пояснение

1) 3 : 3 + 3 • 3 = 1 + 9 = 10

2) 3 • 3 + 3 : 3 = 9 + 1 = 10

3) (33 - 3) : 3 = 30 : 3 = 10


Стр. 109 учебника 2023-2024:

Решение

6 • 4 - 20 = 4 (иг.)

Ответ: осталось 4 игрушки.


Пояснение

Вопрос

Выберите год учебника

Стр. 109 учебника 2011-2022:

5. Два одинаковых пакета молока и пачка творога стоят 94 р. Две такие же пачки творога и один такой же пакет молока стоят 80 р. На сколько рублей один пакет молока дороже одной пачки творога?

Запиши только ответ.


Стр. 109 учебника 2023-2024:

5. В школьную столовую привезли 24 кг яблок, а груш в 3 раза меньше. Сколько всего кило­граммов яблок и груш привезли в школьную столовую?

Подсказка

Стр. 109 учебника 2011-2022:

Дороже, значит, стоит больше.

Вспомни действия с двузначными числами.


Стр. 109 учебника 2023-2024:

Если в задаче есть слова « в ... раз меньше», то задача решается делением.

Ответ

Стр. 109 учебника 2011-2022:

Решение

На 14 рублей 1 пачка молока дороже, чем 1 пачка творога.


Пояснение

Составляю схему по условию задачи:

М - пакет молока, Т - пачка творога.

Зачёркиваю одинаковые пачки молока и творога:

Осталась 1 пачка молока и одна пачка творога, а разница в стоимости покупки всего 14 рублей:

Значит, на 14 рублей 1 пачка молока дороже, чем 1 пачка творога.


Стр. 109 учебника 2023-2024:

Решение

24 + 24 : 3 = 32 (кг)

Ответ: 32 кг фруктов привезли.


Пояснение

Вопрос

Выберите год учебника

Стр. 109 учебника 2011-2022:

6. Начерти прямоугольник с периметром 12 см и с наибольшей площадью.


Стр. 109 учебника 2023-2024:

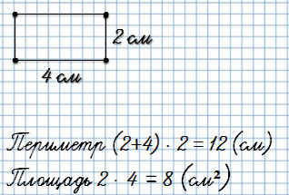
6. Начерти прямоугольник со сторонами 3 см и 4 см. Найди его периметр и площадь.

Подсказка

Стр. 109 учебника 2011-2022:

Периметр многоугольника - это сумма длин всех его сторон. У квадрата все стороны равны, поэтому мы можем длину умножить на 4 и вычислить периметр.


Стр. 109 учебника 2023-2024:

Повтори единицу длины - сантиметр, а также как найти периметр и площадь прямоугольника.

Ответ

Стр. 109 учебника 2011-2022:

Вариант ответа #1:


Пояснение

Периметр прямоугольника равен сумме двух его соседних сторон, умноженных на 2.

По условию периметр прямоугольника 12 см, значит, сумма двух его сторон:

12 : 2 = 6 (см).

6 = 1 + 5 или 6 = 2 + 4 или 6 = 3 + 3.

Площадь прямоугольника равна произведению двух его соседних сторон.

Площадь прямоугольника со сторонами 1 см и 5 см равна:

1 • 5 = 5 (см2).

Площадь прямоугольника со сторонами 2 см и 4 см равна:

2 • 4 = 8 (см2).

Площадь прямоугольника со сторонами 3 см и 3 см равна:

3 • 3 = 9 (см2).

Получается, большая площадь будет у прямоугольника, который является квадратом со стороной 3 см.

Вариант ответа #2:

Решение


Пояснение

Периметр 12 см может быть у квадрата со стороной 3 см:

В таком случае площадь квадрата будет 9 см².


Периметр 12 см может быть и у прямоугольника со сторонами 2 и 4 см:

Тогда площадь такого прямоугольника будет 8 см², то есть МЕНЬШЕ, чем площадь квадрата, а во условию задачи мы должны начертить прямоугольник с НАИБОЛЬШЕЙ площадью.


Стр. 109 учебника 2023-2024:

Решение

3 • 4 = 12 (см2) - площадь прямоугольника.

(3 + 4) • 2 = 14 (см) - периметр прямоугольника.


Пояснение

Площадь прямоугольника равна произведению его длины и ширины.

Периметр прямоугольника - это сумма длин всех его сторон. Мы знаем, что противоположные стороны прямоугольника равны. Поэтому можно сумму длины и ширины умножить на 2.

Вопрос

7. Ленту разрезали на 3 части, затем одну из этих час­тей разрезали ещё на 4 части. На сколько всего час­тей разрезали ленту? Сколько сделали разрезов?

Подсказка

Внимательно прочитай задание и выполни его.

Ответ

Решение

6 частей.

5 разрезов.


Пояснение

Вернуться к содержанию учебника