Свойства подобных треугольников могут быть использованы при проведении различных измерительных работ на местности.
Пусть нам нужно определить высоту телеграфного столба А1С1.

Для этого на некотором расстоянии от столба ставим шест АС с вращающейся планкой и направляем планку на верхнюю точку столба А1.

Далее отмечаем на поверхности земли точку В, в которой прямая А1А пересекается с поверхностью земли.

В
А1С1В и
АСВ:
С1 =
С = 900,
В - общий, следовательно,
А1С1В
АСВ (по 1 признаку подобия треугольников), поэтому сходственные стороны треугольников А1С1В и АСВ пропорциональны:
, откуда
.
Измерив расстояния ВС1 и ВС, зная длину шеста АС, по полученной формуле вычисляем высоту А1С1 телеграфного столба. Пусть, например, ВС1 = 6,3 м, ВС = 2,1 м, АС = 1,7 м, тогда:
м.
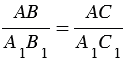
Пусть, нам нужно найти расстояние от пункта А до недоступного пункта В.

Для этого на местности выбираем точку С, провешиваем отрезок АС и измеряем его.

Затем с помощью астролябии измеряем углы А и С.

На листе бумаги строим какой-нибудь треугольник А1В1С1, у которого
А1 =
А и
С1 =
С. Для того, чтобы построить на листе бумаги углы А1 и С1 используем транспортир.

А1В1С1
АВС (по 1 признаку подобия треугольников). Из подобия треугольников
А1В1С1 и
АВС следует, что сходственные стороны данных треугольников пропорциональны:
, откуда
.
Измерив при помощи линейки длину отрезков А1В1 и А1С1, зная расстояние АС, по полученной формуле вычисляем расстояние АВ.
Чтобы сделать вычисления проще,
А1В1С1 удобно построить так, чтобы А1С1 : АС = 1 : 1000. Например, если АС = 120 м = 120
1000 мм (1 м = 1000 мм), то расстояние А1С1 берем равным 120 мм. Тогда
, поэтому измерив расстояние А1В1 в миллиметрах, мы сразу получим расстояние АВ в метрах, т.к. в 1 м = 1000 мм.
Пример:
Пусть АС = 130 м,
А = 730,
С = 580. На бумаге строим треугольник А1В1С1, так, чтобы
А1 = 730,
С1 = 580, А1С1 = 130 мм.

Измеряем с помощью линейки отрезок А1В1. Он равен 153 мм, поэтому искомое расстояние АВ = 153 м.
Определение подобных треугольников
Отношение площадей подобных треугольников
Первый признак подобия треугольников
Второй признак подобия треугольников
Третий признак подобия треугольников
Пропорциональные отрезки в прямоугольном треугольнике
Практические приложения подобия треугольников
Синус, косинус и тангенс острого угла прямоугольного треугольника
Значение синуса, косинуса и тангенса для углов 30, 45 и 60
7 класс
Задание 579, Атанасян, Бутузов, Кадомцев, Позняк, Юдина, Учебник
Задание 580, Атанасян, Бутузов, Кадомцев, Позняк, Юдина, Учебник
Задание 581, Атанасян, Бутузов, Кадомцев, Позняк, Юдина, Учебник
Задание 582, Атанасян, Бутузов, Кадомцев, Позняк, Юдина, Учебник
Задание 583, Атанасян, Бутузов, Кадомцев, Позняк, Юдина, Учебник